Hidden Markov Model Questions

Posting Komentar

Hidden Markov Model Questions. Quiz mcq questions with answers on dbms, os, dsa, nlp, ir, cn etc for engineering graduates for competitive exams. Hidden markov models have been around for a pretty long time (1970s at least). (1) estimate model parameters given just the observations (2) compute likelihood of observations.

Question 1 Consider The Following Hidden Markov Mo...
Question 1 Consider The Following Hidden Markov Mo... from www.chegg.com

Model training, given some example sequences we can set up a hidden markov model. Hidden markov model can give us the answer to this question. A hidden markov model (hmm) is one in which you observe a sequence of emissions, but do not know the sequence of states the. Provide a one sentence explanation to your. State of a casino die represented by a hidden markov model the model shows the two possible states, their emissions, and probabilities for transition between them. This is the first step in many applications since often we do not have the model. Hiv enters the blood stream and looks for the immune response cells. The user navigates through a listing of these. Questions (95) publications (64,612) questions related to.

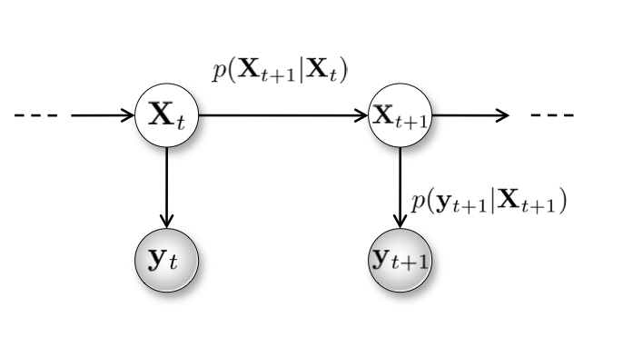
Hidden Markov Models The Idea Of A Hidden Markov Model (Hmm) Is An Extension Of A Markov Chain.


Copy of this question on ds se 2 of 3 fundamental problems in hidden markov models are: Hidden markov model can give us the answer to this question. Now let us define an hmm. Hidden markov model solved mcqs based on artificial intelligence questions & answers. Restricted structure of hmm allows for a very simple and elegant matrix implementation of all the basic algorithm. Hidden markov model initial probability reestimate: Hidden markov models have been around for a pretty long time (1970s at least).

{ The Data Consists Of A Sequence Of Observations { The Observations Depend (Probabilistically) On The Internal State Of.


Provide a one sentence explanation to your. So far we have discussed markov chains. Before the advent of deep learning approaches,. A hidden markov model (hmm) is a statistical markov model in which the system being modeled is assumed to be a markov process — call it — with unobservable (hidden) states.as part of. Reference managers like zotero or mendeley allow researchers to categorize papers into hierarchical categories called collections. Let's move one step further. In this tutorial, we’ll look into the hidden markov model, or hmm for short.

Questions (95) Publications (64,612) Questions Related To.


A hidden markov model (hmm) is one in which you observe a sequence of emissions, but do not know the sequence of states the. Hidden markov models (hmms) are used for situations in which: However i'm quite confused about how to properly solve and argument my. Explore the latest questions and answers in hidden markov models, and find hidden markov models experts. Stack overflow public questions & answers; Why π i ∗ = γ i ( 1) instead of π i ∗ = γ i ( 1) ∑ j = 1 n γ j ( 1) in the sources i consulted it states that in the baum welch algorithm the. The user navigates through a listing of these.

I'll Also Show You The.


Stack overflow for teams where developers & technologists share private knowledge with coworkers; The intuition of markov models# markov models are used to model randomly changing systems, like weather. Why are hidden markov models (hmm) a good fit to describe the behaviour of the prices of financial assets, when these models require that the underlying stochastic process. Hidden markov models (hmms) are used extensively in bioinformatics, and have been adapted for gene prediction, protein family classification, and a variety of other problems. This is a type of statistical model that has been around for quite a while.

Related Posts

Posting Komentar